User
Write something
College Board QOTD: Geometry & Trig - Easy
A rectangle has an area of 63 square meters and a length of 9 meters. What is the width, in meters, of the rectangle?
College Board QOTD: Geometry & Trig - Easy
College Board QOTD: Advanced Math - Easy
How could you solve this equation using Desmos? What about without Desmos? Which method is more efficient for you?
College Board QOTD: Advanced Math - Easy
PP3: Algebra - Linear Equations in One Variable - Hard
If the equation below has infinitely many solutions, what is the value k? 🧮 How could you solve this problem with Desmos? How about without Desmos? Which do you prefer?
Poll
Cast your vote
PP3: Algebra - Linear Equations in One Variable - Hard
PP2: Data Analysis - Percentages - Hard
Here's another one! The number a is 190% greater than the number b. The number b is 80% less than 24. What is the value of a? (Key Concept: What's the difference between 190% *of* a number and 190% *greater than* a number?)
PP2: Data Analysis - Percentages - Hard
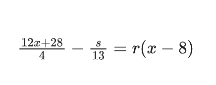
PP1: Algebra - Linear Equations in One Variable - Hard
Try this one! In the given equation, s and r are constants, and s > 0. If the equation has infinitely many solutions, what is the value of s? Source: College Board SAT Question Bank
PP1: Algebra - Linear Equations in One Variable - Hard
1-5 of 5
powered by
Digital SAT Math Prep Academy
skool.com/digital-sat-math-prep-academy-3795
Confidence, speed, and accuracy. Use Desmos efficiently, learn the patterns, stop guessing, start scoring.
Build your own community
Bring people together around your passion and get paid.
Powered by