Ernesta Skola
Log In
Activity
Mon
Wed
Fri
Sun
May
Jun
Jul
Aug
Sep
Oct
Nov
Dec
Jan
Feb
Mar
Apr
What is this?
Less
More
Memberships
Ernesta Skola
2.2k members • Free
3 contributions to Ernesta Skola
Contributions for:
Ernesta Skola
2
Marija Gedroica
May '25 •
Atsauksmes
Kļūda!
Čau, pie Mat1 tēmas "Kombinatorika un varbūtība" risinājuma ir kļūda.
2
2
New comment May '25
2
Marija Gedroica
Mar '25 •
Atsauksmes
Kļūda!
Čau, pie Mat1 tēmas "Eksponenfunkcijas" uzdevumos un atbildēs nesakrīt piemēri.
2
1
New comment Mar '25
2
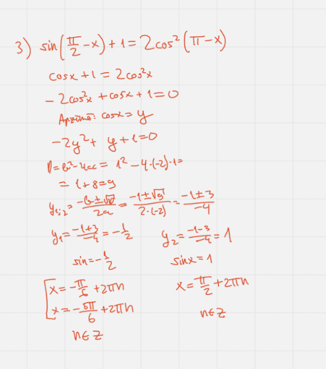
Marija Gedroica
Jan '25 •
Atsauksmes
Kļūda?!
Čau, pie Mat1 - "Trigonometriskās izteiksmes un vienādojumi" ir pielikts šis piemērs ar atrisinājumu, bet pēkšņi no cosx liekot atrisinātas saknes, izmantojot substitūciju, tas kļuva par sinx.
6
3
New comment Jan '25
Previous
1
Next
1-3 of 3
2
Level 2 - Vietējais
10
points to level up
Marija Gedroica
@marija-gedroica-3567
.
Active 322d ago
Joined Jan 16, 2025
3
Contributions
0
Followers
2
Following
Powered by